CHINESE  INSTITUTE  OF  COMMAND  AND  CONTROL

CICC科普栏目|10分钟让你理解泊松分布、指数分布

发表时间:2025-09-02 16:01

大学时,我一直觉得统计学很难,还差点挂科。


工作以后才发现,难的不是统计学,而是我们的教材写得不好。比起高等数学,统计概念其实容易理解多了。


图片


我举一个例子,什么是泊松分布和指数分布?恐怕大多数人都说不清楚。


我可以在10分钟内,让你毫不费力地理解这两个概念。


1

泊松分布


日常生活中,大量事件是有固定频率的。


●某医院平均每小时出生3个婴儿

●某公司平均每10分钟接到1个电话

●某超市平均每天销售4包xx牌奶粉

●某网站平均每分钟有2次访问、前端


它们的特点就是,我们可以预估这些事件的总数,但是没法知道具体的发生时间。已知平均每小时出生3个婴儿,请问下一个小时,会出生几个?


图片


有可能一下子出生6个,也有可能一个都不出生。这是我们没法知道的。


泊松分布就是描述某段时间内,事件具体的发生概率。


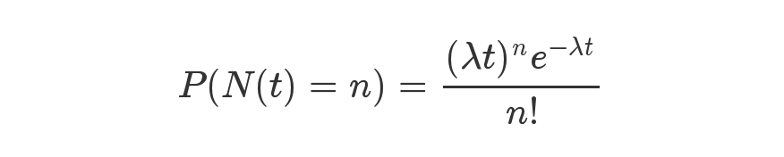
图片


上面就是泊松分布的公式。等号的左边,P 表示概率,N表示某种函数关系,t 表示时间,n 表示数量,1小时内出生3个婴儿的概率,就表示为 P(N(1) = 3) 。等号的右边,λ 表示事件的频率。


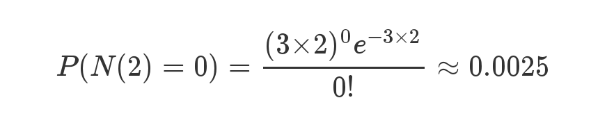
接下来两个小时,一个婴儿都不出生的概率是0.25%,基本不可能发生。


图片


接下来一个小时,至少出生两个婴儿的概率是80%。


图片


泊松分布的图形大概是下面的样子。


图片


可以看到,在频率附近,事件的发生概率最高,然后向两边对称下降,即变得越大和越小都不太可能。每小时出生3个婴儿,这是最可能的结果,出生得越多或越少,就越不可能。


2

指数分布


指数分布是事件的时间间隔的概率。下面这些都属于指数分布。


●婴儿出生的时间间隔

●来电的时间间隔

●奶粉销售的时间间隔

●网站访问的时间间隔


指数分布的公式可以从泊松分布推断出来。如果下一个婴儿要间隔时间 t ,就等同于 t 之内没有任何婴儿出生。


图片


反过来,事件在时间 t 之内发生的概率,就是1减去上面的值。


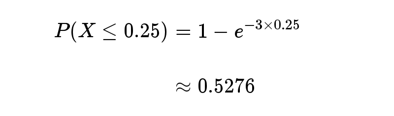
图片


接下来15分钟,会有婴儿出生的概率是52.76%。


图片


接下来的15分钟到30分钟,会有婴儿出生的概率是24.92%。


图片


指数分布的图形大概是下面的样子。


图片


可以看到,随着间隔时间变长,事件的发生概率急剧下降,呈指数式衰减。想一想,如果每小时平均出生3个婴儿,上面已经算过了,下一个婴儿间隔2小时才出生的概率是0.25%,那么间隔3小时、间隔4小时的概率,是不是更接近于0?


3

总结


一句话总结:泊松分布是单位时间内独立事件发生次数的概率分布,指数分布是独立事件的时间间隔的概率分布。


请注意是"独立事件",泊松分布和指数分布的前提是,事件之间不能有关联,否则就不能运用上面的公式。


[说明] 本文受到 nbviewer 文档的启发。

来源:阮一峰的网络日志