CHINESE  INSTITUTE  OF  COMMAND  AND  CONTROL

CICC科普栏目|范畴学:人工智能里蕴含的深刻数学

发表时间:2025-06-13 16:13

以下文章来源于返朴,作者黎景辉

导语:本文根据作者在2025年4月在河南师范大学数学系和计算机系的报告撰写,谈计算机和人工智能理论使用范畴学的一些例子。希望借助这些例子鼓励更多计算机科学与数学的交流,相互促进更大的创新发展,希望人工智能有一天用上更深刻的数学

黎景辉丨作者



1. 计算机和人工智能




1943-1945美国宾夕法尼亚大学电机工程学院物理学家莫奇利John William Mauchly工程师埃克特John Presper Eckert Jr.建成世界上第一台重约30吨设定程序通用电子计算机ENIAC偶然听说了这个项目之后,数学家冯·诺依曼(Johnvon Neumann)后来以顾问的形式参与到ENIAC的研制计划之中。
据标准的课本(如 参考文献[11][14][27][39])1943年,心理学家WarrenMcCulloch和数学家WalterPitts最早提出了一种基于简单逻辑运算的人工神经网络。1950年图灵(Alan Turing)发表题目为计算机和智能》的论文。1956年Dartmouth会议McCarthy提出了人工智能的定义人工智能就是要让机器的行为看起来就像是人所表现出的智能行为一样。美国心理学家和计算机科学家弗兰克·罗森布拉特(Frank Rosenblatt)1958年提出了一种称为感知器(Perceptron)的、以模拟人类感知能力为特征的神经网络模型。1983年,物理学家John Joseph Hopfield提出了一种用于联想记忆(Associative Memory)的神经网络,称为Hopfield网络。1984年加拿大计算机科学家Geoffrey Hinton提出一种随机化版本的Hopfield网络,即玻尔兹曼机(BoltzmannMachine)因为这些工作HopfieldHinton获得2024年诺贝尔物理学2017在NeurlPS会议上,谷歌8团队在文章“Attention Is All You Need” (arXiv:1706.03762)发表Transformer ——一个创新的生成式人工智能Generative AI架构不同于传统的人工智能仅对输入数据进行处理和分析,生成式人工智能使用深度学习训练优化和生成来学习并模拟事物的内在规律,根据输入资料生成具有逻辑性和连贯性的新内容。由此,人工智能进入了“大型语言模型 (LLM) 时代。2024年EpochAI[43]提出FrontierMath, 这是一个用于评估人工智能数学推理能力的基准测试六个当今世界最领先的模型 : o1Claude 3.5Sonnet、GPT-4oGrok和Gemini 1.5 Pro在这个测试下的成功率低于2%。这个测试是基于三百多个涵盖了现代数学的大多数主要分支的问题而来的
下图显示EpochAI的数学世界
图片
EpochAI的数学世界丨图源Epoch AI
这些问题有两个特征:(1)解决方案是自动可验证的,从而实现高效的评估;(2)所有问题都是新的且未发表的,以防止数据污染——这是说LLM利用计算机的超级速度对关联的大数据进行实时采掘, 对没有收录在它们数据库的全新內容, LLM是没有办法的, 更何况人类自已也不知道的猜想的答案呢! 个笑话网上的人工智能工具可以谈恋爱, 但距离可以创新数学物理学和其他基础理论科学还, 大家是仍然有很多机会的。
我们可以说: 人工智起飞是始于OpenAI使用英伟达建造的微超级计算机(mini-super-computer)向公众提供ChatGPT——这就是我们所说的计算机人工智能的结合
我们借助几张照片简单介绍计算机和人工智能的关系
图片
这张照片是2016 年 8 月英伟达 (Nvidia) 黄仁勋亲手赠送给时在OpenAI的马斯克(Elon Reeve Musk)全球第一部 AI 超级计算机 DGX-1这部计算机更适合用于AI的计算2023 年5月25 日英伟达的市值增加2千亿美元)到月底全球市值排第六超过Walmart 加ExxonMobil2025 年 1 月 28 日 DeepSeek 发布 R1英伟达的市值暴跌 5 千亿美元 (破录)
下图是英伟达人工智能计算机芯片GB2000——这是上面的两个GPU作平行计算实时与下面的一个作线性计算CPU转换。现时英伟达的H20芯片是禁运我国,我们可以口的是低一档的H200
图片
下图是我国生产的华为AI推理芯片其中NPU搭载了8颗昇腾910B,CPU配备了4颗鲲鹏920左图人工智能超级计算机华为昇腾 Atlas900(右图
图片



2. 计算机与范畴




计算机系的老师开的数学课以数理逻辑为主,他们会讲模态逻辑(如[6]或与函数程序设计相关的λ演算(如[17]。至于计算机与范畴学,也许大家不相信两者有关系我们不打算说明,但是我们希望用几本(例如[2][12][24][25][32][42]) 给计算机系的学生上范畴的课本支持我们观点——范畴学是可以帮助明白和解决计算机理论问题的



3. 人工智能与范畴学




余下我们专注讨论人工智能范畴学图可见github收的范畴与机器学习的文章现了快速增 (arXiv亦类似)
图片
最近人们发现: 计算机人工智能和范畴学好像有共同的理论结构。我们举范畴学进入神经网络理论的三个例子来说明这个现象
(一) 神经网络学习算法的范畴结构
(二) SNN神经网络的信息结构
(三) DNN神经网络的拓扑结构
在未开始之前我们说说范畴是什么?



4. 范畴是什么?




(1)数学是使各不同的系统可以对话的语言。
(2)数学是研究结构的科学。当两个绝不相同的系统有共同结构的时候,这两个系统便可以经过共同结构使用数学对话。
(3)什么一个数学结构每当一个系统有一个过程把两件事(或两个元素)合成为新的一件事,便有一个数学结构。例如在代数学我们说‘’G 是一种数学结构G的任何两个元x,y可以合成为一个属于G的元xy整数Z的加法是的例子两个整数 x, y可以整数加法合成为一个整数x+y
4)一个范畴也是一种数学结构不过, 范畴是可以用来研究数学结构的数学结构例如我们可以考虑由所有组成的范畴Grp
一个范畴C有两个部分(1)是C的对象(2)是C的态射例如: 所有组成的范畴Set的对象就是任何一个Set的态射就是任何一个集的映射fX→Y 我们用一个集的映射 f:X→Y来比较两个集X,Y我们用一个范畴的函’F:C→D 来比较两个范畴C,D
(5)拓扑空间是刻划连续性数学结构[40]由所有‘拓扑空间’组成的范畴记为Top范畴学的第一个重要的函子是基本群函子πTop Grp使用函子π可以简单的解决关于拓扑空间的性质的问题[41]。我们当留意这是一件很神奇的事, Top是讲连续, Grp是讲加法, 左右两边看起来沒有半点关系, 但是数学, 即是函子π, 把边联络起来这个把两种事物联络起来的想法应会人工智能理论有贡献。
6)目前我国比较成熟的数学系的本科生一点范畴学。范畴学大师、美国数学家Francis William Lawvere为中学生写了一本学习范畴学的教材[22](不单范畴学美国人亦鼓励少年学习人工智能编程语言Python[8])。本文以下出现的范畴都是半范畴 (symmetric monoidal category)定义见[21]李文威的代数学方法。定义数学结构是需要使用数理逻辑的,不过看看[19][20]可以增加理解。



5. 用可微函数造一个范畴的例子




图片记实数, 图片记n维实数向量空间以P记参数空间图片称可微函数I:P×图片图片为从图片图片的带参数可微函数
给出从图片图片的带参数可微函数(P,I)(P′,I′)若有可微函数 f : P →P′ 使得 p∈P, a∈图片有I′(f(p),a) =I(p,a) 便记 (P,I) (P′,I′)。是等价关系。
定义Para的对象是图片, 从图片图片的态射是从图片图片的帶参数可微函数的等价类图片
设k=m则合成(Q,J)(P,I) 是 (P×Q,IJ) ,其中(IJ)(p,q,a) = J(q,I(p,a))。
定义(P,I)(Q,J) 为 (P×Q,I∥J) ,其中 (I ∥ J)(p,q,a,c) = (I(p,a),J(q,c)).



6. 人工智能与范畴学的第一个例子:

神经网络




接下来我们说明怎样把神经网络放在一起成为一个范畴,这是我们讨论人工智能范畴学的第一个例子。
人脑由860亿个神经元 (neuron) 组成, 这些神经元由100万亿个突触 (synapse) 联络起来。以下是一张美丽的显微镜下的人脑神经网
图片
下图展示两个神经元突触联系
图片
我们假设人工智能是用计算机建模来模仿人脑。我们简化实况——把神经元安排在一系列的面板 (panel)我们用线条代表突起(包括轴突和树突)以显示两个相继的面板的神经元的联络。我们称两个面板之间的所有联络线条为神经网络的联络层 (layer) 就是说从一个面板上的神经元到另一面板上所有的神经元的突起组成两个面板之间的一个联络层
图片
我们用一个集C={(i,j: 1 ≤i ≤m, 1 ≤j ≤n}来记录一个(m,n)-联络层这是说有m个神经元在第一个面板n个神经元在第二个面板若一对整数(i,j)在集C出现是指左边面板第i个神经元是联络至右边面板第j个神经元。以下是一个简単的例子——一个(4,3)-神经网络。
图片
我们推广一点定义(n0,nk)-型(前馈)神经网络N是有k+1个面板排起来, 第i个面板第i+1个面板是一个(ni,ni+1)-联络层Ci我们亦可以说神经网络NC1C2,…, Ck-型的
定义神经网络范畴NNet的对象为自然数, 态射$Hom (m,n)为所有(m,n)-型神经网络。用拼接 (concatenation) 定义网络的合成恒等态射是0层神经网络
这样我们达到了第一个目标神经网络放在一起是一个范畴



7. 怎样学习的?




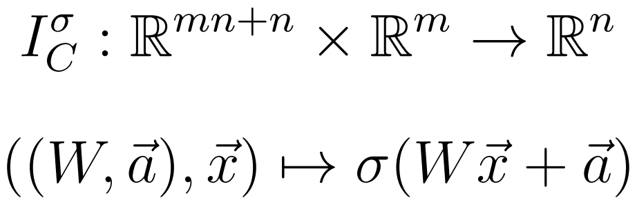
一个面板的神经元怎样输出信息假设第i个神经元的电势xi输出强度是xiwi (称wi为权), 于是总输出电势是net=wixi然后σ是个管线路开关的函数,即当电势达到某个数字便打开线路,把信号输出到下一个面板的某一个神经元。
图片
把这个想法推广一下,下图是三面板两层的网络, 这时每一层的权便写为矩阵(wij)。
图片
取可微函数图片。定义Iσ1-层(mn-型神经网络C映为带参数可微函数 :
图片
其中W是n×m矩阵, 图片,向量a是在图片,   向量x是在图片。若神经网络图片C1, ⋯,Ck-型的则设
图片
定理.Iσ : NNetPara是函子。
我们可以构造一个范畴Learn使得Learn 的对象是集态射学习算法等价类; 并且构造一个函子L:ParaLearn于是函子L∘Iσ : NNetLearn可以利用这个函子的性质去了解学习算法的代数结构。以上来自MIT计算机系文章[13]



8. 人工智能与范畴学的第二个例子:信息




T记绝对温度Q记热量热动力学用以下公式引入函数熵(entropy)S:dS =dQ/T
借用到信息论: 信息的增量=不确定性的
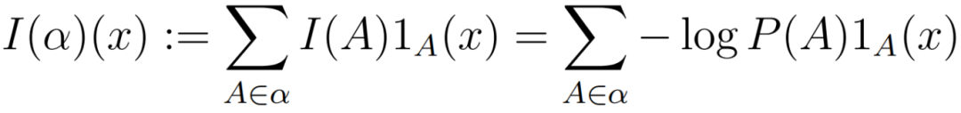
(1) 定义事件A的信息內容为I(A) :=-log P(A), 其中P为概率
(2) 概率空间的有限可测分割 α= {A1, , AN }的信息內容是图片其中1A是A的特征函数
(3) 有限可测分割α定义为α的信息內容的平均值([10] 2.1节)
图片
现代信息论是从Shannon 1948年Bell Journal[28]及Carnap和Bar-Hillel 1952年MIT Electronics Laboratory的文章[9]开始。之后的发展主要是在应用到2015年拓扑进入信息论, Baudot和Bennequin[5]指出信息论的熵是上同调类, 这是信息论的一个划时代的更新。到了2020年Vigneaux[30]提出信息结构 (information structures) 统一各个观点
我们范畴S的对象为定义在有限概率空间上的实数值随机变元, MX记X的象。要求范畴S的态射π: X Y满足条件:MXMY的子集。以F记有限集范畴则有函子M : SF把X映为MX; 把态射π: X Y映为单射M(π) : MXMY(S, M)为一个信息结构
定义范畴InfoStr的对象为信息结构(S, M);态射为φ=(φ0,φ1): (S, M) (S', M')其中φ0 : S S',φ1 : M M' φ0



9. 回到神经网络




(1) 生理神经元在接收输入(光或外部电输入等感官刺激)或被细菌攻击时会被激活而产生电势。
(2)神经通讯神经元之间的通讯通过电信号和化学信号进行。当一个神经元接收到来自其他神经元的信号时,它会在细胞体内处理这些信息,如果累积的输入足够强,就会产生一种称为动作电势的电脉冲。
(3) 如果我们在神经网络加入神经元用发射脉冲 (spike) 序列传输信息我们得到SNN (spiking neural network) [26](如下图
图片



10. 电码




神经元在特定时间间隔内要么活跃, 即有一个脉冲要么不活跃, 即没有脉冲。假设我们把观察时段分为n段,使得每个小时段最多只有一个脉冲若第i个小时段有脉冲我们记1没有则记0, 于是我们得一个n位二进数, 例如1011。假如我们做k个观察便生成一个二进C
今年华为已开始生产3进制AI芯片而量子码是pm进制(p是素数) ([33][34])。到今天还未见医学或生物学的理论说人脑不可能做量子计算。
设F是有pm个元素的域一个[n,k]pm码是指Fn的有pmk个元素的子集C。以dC(c, c)记集{1 i≤ n : ci不等于c'i} 的元素个数。
定义范畴Codes(n)的对象为图片态射是映射φ : C C'使得φ(C) C'的子集dC'( φc, φc) dC(c, c)。
设C是图片I(C )为随机变元X : C R组成的集。Codes(n)的态射φ : C C', 若X 属于I(C )则取I(φ )(X) = X° φ
定理. : Codes(n)InfoStr是函子
这是德国Bonn Max Planck Institute的工作[23]



11. 人工智能与范畴学的第三个例子:Topos




一个Topos是一个有丰富结构的范畴。一直以来Topos理论只是小部份的代数几何学([35][37])和几何逻辑学家的工具([36])。但是进入了21世纪便看见Topos在信息系统控制 ([1])网路管理([7])神经网络([4][5][19])6G通讯([3])工智能 ([18])和量子工智能([31])的应用
我们假设面板是按偏序排列我们引入图Γ。取网络N的面板为Γ的顶点; 若有a≤b则以ab为Γ的箭
以C(Γ)记Γ的路范畴; 在C(Γ)op取Grothendieck拓扑得位形
对b≤c, 设集Wbc的元素为从面板b上的神经元至面板c上的神经元的突触的权取顶点a,设
图片
若a→b是Γ的箭,取投射
图片
则{Wa,Wa→b} 决定函子 W: C(Γ)→Set并且 W 是层, 是属于C(Γ)opTopos
定理.每一个深度神经网络(DNN)N 有一个ToposT(N) 使得 N的动力系统是属于T(N)的层(sheaf)
以上来自华为巴黎实验室Bennequin, Belfiore 2022年的工作[4]



12. 结语




为了鼓励学生学习老师常说数学很有用。老师说今天你掌握多少数学就是你可以掌握多少你明天的前程 ! 在此我们让企业说同样的话。2020年9月12日华为徐文伟在由中国工业与应用数学学会举办的数学促进企业创新发展论坛提出通讯数学的华为10大问题。这是值得我们下载看看生产前线对数学的求助。此外2021年剑桥大学出版社为华为出版文集[16], 书中华为的不同部门的主管谈他们工作上遇到的数学。我们相信华为之外像里巴巴腾讯等也在使用大量数学。不过从文献[14][38][39]所见人工智能用的数学只是微积分线性代数数值算法Bayes统计Monte Carlo方法随机梯度下降。我们只能希望有一天人工智能可以用上更深刻的数学。
图片


作者简介

黎景辉1974年数学博士,论文导师朗兰。毕业后在中国香港、中国台湾和国外的大学当老师。自1978年中山大学华东师范大学北京大学首都师范大学山东大学河南大学东北师范大学河南师范大学等大学讲课。研究方向是代数数论和数学教育。在科学出版社高等教育出版社北京大学出版社河南大学出版社出版多部数学专著



参考文献

[1] Avsykevich D,Formalization ofcontrol systems based on the topos theory, Military Space Academy, St. Petersburg,(2021).[2] Barr M, Wells C ,Category Theory for Computing Science,Grundlehren dermath. Wiss. 278, Springer-Verlag, Berlin, (1985).[3] Belfiore J, Debbah M, Towards an intelligent 6G - a Topos perspective, Huawei Algo. Lab. Paris (2019).[4] Belfiore J, Bennequin D, Topos and stacks of deep neural networks, Huawei Adv. Wireless Lab. Paris arXiv, 2106.14587, (2022).[5]Baudot P, Bennequin D, The homological nature of entropy, Entropy, 17(5):3253–3318, (2015).[6]Blackburn P, de Rijke M, Venema Y, Modal Logic. Cambridge University Press (2002).[7]Bonick J,Higher category theory as a paradigm for network applications,Signal Processing, Sensor Fusion, and Target Recognition,United States Defense and Security Symposium,   (2006).[8] Briggs J, Python for Kids: A Playful Introduction to Programming, No Starch Press; ( 2022)[9] Carnap R, Bar-Hillel Y, An outline of a theory of semantic information, MIT Lab. Of Electronics, Technical Report 247 (1952).[10] Cover T, Thomas J, Elements of Information Theory, Wiley, (2006)[11]Fausett L, Fundamentals of Neural Networks_ Architectures, Algorithms, and Applications, Prentice Hall, Englewood Cliffs (1993).   [12]Fiadero J, Categories for Software Engineering, Springer. (2005).[13]Fong B, Spivak D, Tuyeras R, Backprop as functor, ArXiv 1171.10455, (2019)[14]Goodfellow I, Bengio Y, Courville A, Deep Learning, MIT Press,(2016).[15]Gust H,Learning Models of Neural Networks Based onTopos Theory, (2007).[16]Heng L, McColl B(Editors), Mathematics for Future Computing and Communications-Huawei volume, Cambridge University Press, (2021).[17]Hindley J, Seldin J, Lambda Calculus and Combinatorics, Cambridge University Press, (2008).[18]Lafforgue L, Some possible roles for AIof Grothendieck topos theory, Huawei Research Center, France, (2022).[19]黎景辉, 冯淑霞,梁志斌,俞小祥,朱一心, 中学数学和大学数学的本质区别对学习和教学的影响, 数学通报, 59(3), 1-6; 59(4), 7-10,17; (2020).[20] 黎景辉, 形式系统和数学, 数学文化, 11-3 (2020) 37-44.[21] 李文威,代数学方法, 卷一,二, 北京, 高等教育出版社 (2016).[22] Lawvere W, Schanuel S, Conceptual Mathematics: A First Introduction to Categories Cambridge University Press; ( 2009)[23]Manin Y, Marcolli M, Homotopy-theoretic and categorical models of neural informationnetworks, Compositionality, 6 (2024).[24]Milewski B, Category Theory for Programmers,Creative CommonsAttribution (2017).[25]Pierce B, Basic Category Theory for Computer Scientists,MITP ress,1991.[26] Quiroga R, Panzeri S(Ed),Principles of Neural Coding, CRC Press, (2013).[27] 邱锡鹏, 神经网络与深度学习,复旦大学(2021)https://nndl.github.io[28]Shannon C, A mathematical theory of communication. Bell System Technical Journal,27:379–423, 623–656,(1948.)[29]Vallani M, Topos of Google Transformer Networks, arXiv, 2403.18415(2024).[30] Vigneaux J, Information structures and their cohomology, Theory and Applications of Categories, Vol. 35, No. 38, (2020), 1476–1529.[31]D. Youvan, Topos Theory and the Evolution of Quantum AI, (2024)[32]Walters R, Categories and Computer Science, Cambridge University Press (2009).[33] 冯克勤, 陈豪, 量子纠错码, 科学出版社 (2010). [34]W.F. Ke, 黎景辉,R. B. Zhang, Quantum codes from Hadamard matrices, Linear and Multilinear Algebra, 58 (2010) 847-854.[35]Grothendieck A, et. al.,Seminaire de Geometric Algebrique, [SGA 4], Springer Lect. Notes Math., 269 (1972).[36] Johnstone P, Topos Theory, Dover Books, (2014).[37]黎景辉,TOPOS理论, 高等教育出版社, 2025年将出版。[38]Hardt M, Recht B, Singer Y, Train faster, generalize better: Stability of stochastic gradient descent, Proceedings of The 33rd International Conference on Machine Learning, J. Machine Learing Research, 48 (2016) 1225- 234.[39] Murphy K, Machine Learning, MIT Press (2012).[40] 江辉有, 拓扑学基础, 北京:科学出版社(2001).[41] Massey W,Algebraic Topology-an introduction, Springer (1977)[42] Pitt D, Rydeheard D, Johnstone P (eds.), Category Theory and Computer Science, Springer Lecture Notes in Computer Science 953, (1995).[43]E. Glazer, et.al. , FrontierMath: A Benchmark for Evaluating Advanced Mathematical Reasoning in AI, (2024), arXiv:2411.04872v5


本文来源:返朴   微信公众号